√完了しました! y=2x^2-2 207246-X^2+y^2=2 graph
Y = 2x^2 2 Using the vertex form of a parabola, where (h,k) is the vertex Vertex ix Pt (0,2) Line of symmetry is the yaxis parabola opens upward (a>0)First type the equation 2x3=15 Then type the @ symbol Then type x=6 Try it now 2x3=15 @ x=6 Clickable Demo Try entering 2x3=15 @ x=6 into the text box After you enter the expression, Algebra Calculator will plug x=6 in for the equation 2x3=15 2(6)3 = 15 The calculator prints "True" to let you know that the answer is right More Examples Explanation The closest point is the one whose distance is minimum The distance between (x,2x2) and (2,1) is √(x −2)2 (2x2 −1)2 Because the square root is an increasing function, we can minimize the distance by minimizing Now use whatever tools you have available to solve this cubic equation (Formula, graphing technology, successive
Solution Can Someone Show Me How To Do This Problem Determine The Vertex Of The Parabola Y 2x 2 16x 37
X^2+y^2=2 graph
X^2+y^2=2 graph-Add 2 2 to both sides of the equation x = 2 x = 2 x = 2 x = 2 xintercept (s) in point form xintercept (s) ( 2, 0) ( 2, 0) xintercept (s) ( 2, 0) ( 2, 0) Find the yintercept Tap for more steps To find the yintercept (s), substitute in 0 0 for x x and solve for y y(6x4) = 2x² 2mx m or 2x² (2m6)x (m4) = 0, which is a quadratic in x and x is real, therefore for two distinct values of x (so that the two curves cut each other at



Solved Match The Equation With Its Graph Y 2x 2 Z 2 Chegg Com
Class 12 >> Maths >> Continuity and Differentiability >> Derivatives of Implicit Functions >> If 2^x 2^y = 2^x y , then dydx is e Mathematics Stack Exchange is a question and answer site for people studying math at any level and professionals in related fields It only takes a minute to sign upSolve y' = y^2 x Natural Language;
X=\frac {y2} {2} x = 2y −2 View solution steps Steps for Solving Linear Equation y=2x2 y = 2 x 2 Swap sides so that all variable terms are on the left hand side Swap sides so that all variable terms are on the left hand sideExamples One Time Payment $1999 USD for 3 months Weekly Subscription $299 USD per week until cancelled Monthly Subscription $799 USD per month until cancelled Annual Subscription $3499 USD per year until cancelled2 Finding a point the tangent passes through We know that the tangent touches the curve when its x coordinate is 1, and we can also calculate the y coordinate of this point y = 2(1) 2 (1) 1 = 2 (as y = 2x 2 x 1)
View more examples » Access instant learning tools Get immediate feedback and guidance with stepbystep solutions and Wolfram Problem Generator Learn more about StepExamples 12 , 1/31/4 , 2^3 * 2^2 (x1) (x2) (Simplify Example), 2x^22y @ x=5, y=3 (Evaluate Example) y=x^21 (Graph Example), 4x2=2 (x6) (Solve Example) Algebra Calculator is a calculator that gives stepbystep help on algebra problemsAnswer I read the following equation M(x,y)dx N(x,y)dy =0 , with M(x,y) = y(y 2x 2 ) , N(x,y) = 2(x y) The equation is not exact because M_y =2(x y 1) # N_x = 2 But ( M_y N_x )/N = 1 So the IF = exp(x) may be used to obtain the exact equation P(x,y)dx Q(x,y)dy = 0 wi



Y 2x 3 4 7x 1 2 2 3x 1 3 4 3x 2 3 Dy Dx Youtube



Graph The Function Y 2x 2 Domain 0 2 5 7 And 10 Quizlet
STEP 2 Using the equation y = 2x 1, calculate the value of y by using the x value in the table In this instance, x=0 Do the same for x=1, x=2, x=3 and x=4 4 of 8 STEP 3 Draw a graph andA first order Differential Equation is Homogeneous when it can be in this form dy dx = F ( y x ) We can solve it using Separation of Variables but first we create a new variable v = y x v = y x which is also y = vx And dy dx = d (vx) dx = v dx dx x dv dx (by the Product Rule) Which can be simplified to dy dx = v x dv dx2x ( xy' (1)y) 2 y y' = 0 , so that (Now solve for y' ) 2x xy' y 2 y y' = 0 , 2 y y' xy' = y 2x, (Factor out y' ) y' 2y x = y 2x, and (Equation 1) If the first derivative y'=0 , then (If , then A=0 ) y 2x = 0 , so that y = 2x Substituting this into the original equation x 2



Foundations



Solution Can Someone Show Me How To Do This Problem Determine The Vertex Of The Parabola Y 2x 2 16x 37
Explanation y = 2 −2x is the same as y = −2x 2, which is the slopeintercept form of a linear equation, y = mx b, where m is the slope and bThe equation is in standard form 2x=y2 2 x = y 2 Divide both sides by 2 Divide both sides by 2 \frac {2x} {2}=\frac {y2} {2} 2 2 x = 2 y 2 Dividing by 2 undoes the multiplication by 2 Dividing by 2 undoes the multiplication by 2Method finding stationary points Given sked) calculate the y coordinate (s) of the



Solution Graph The Relation Y 2x 2 2 And It 39 S Inverse



What Is The Area Of The Region Bounded By Lines Y 2x 1 X 1 And Y 5 On The Coordinate Plane Quora
Algebra Calculator MathPapa Algebra Calculator What do you want to calculate?Y = 2x² 2mx m and y = 6x 4 for their points of intersection; Transcript Ex 95, 15 For each of the differential equations in Exercises from 11 to 15 , find the particular solution satisfying the given condition 2𝑥𝑦𝑦^2−2𝑥^2 𝑑𝑦/𝑑𝑥=0;𝑦=2 When 𝑥=1 Differential equation can be written 𝑎s 2𝑥𝑦𝑦^2−2𝑥^2 𝑑𝑦/𝑑𝑥=0 2𝑥𝑦𝑦^2= 2𝑥^2 𝑑𝑦



Solved Consider The Equation Y 2x 2 8x 12 A Use Technique Of Completing The Square To Write The Equation In Vertex Form Work Must Be Shown Course Hero



Y 2x 2 X Underline Sunderline Y X Y Underline Y X Gauthmath
Answer Solving the two given equations viz ;Find the equation of a straight line that is perpendicular to \ (y = 2x 1\) The gradient of \ (y = 2x 1\) is 2 To find the perpendicular gradient, find the number which will multiply by 2 to Answering the question What we are transforming is the basis of y = x2 where xvertex = 0 Let the vertex of y = x2 → (x1,y1) = (0,0) Note this is the same as y = x2 0x 0 Note that the yintercept is at x = 0 So for this case the yintercept is y = (0)2 0x 0 = 0



Write Y 2x2 4x 12 In Vertex Form Y 2 X 1 2 10 Y 2 X 2 2 12 Y 2 X 1 2 10 Y 2 X Brainly Com



Solved Identify The System Of Equations That Represents Each Chegg Com
ответ здесь { 2x y = 2,3x y = 8;X 2 = 2 − y 2 y x y Multiply both sides of the equation by 2 Multiply both sides of the equation by 2 2x^ {2}=y2yxy 2 x 2 = − y 2 y x y Swap sides so that all variable terms are on the left hand side Swap sides so that all variable terms are on the left hand side y2yxy=2x^ {2}Y = − 2 x − 2 Swap sides so that all variable terms are on the left hand side Swap sides so that all variable terms are on the left hand side 2x2=y − 2 x − 2 = y Add 2 to both sides Add 2 to both sides 2x=y2 − 2 x = y 2



Graphs Of Functions Y X2 Y 2x2 And Y 2x2 In Purple Red And Blue Respectively



What Is The Vertex Form Of 2x 2 X 3 Quora
The random variable X is the number of heads in these 10 tosses, and Y is the number of heads in the first 3 tosses In spite of the fact that Y emerges before X it may happen that2 x 2 2 x 2 Set y y equal to the new right side y = 2 x 2 y = 2 x 2 y = 2 x 2 y = 2 x 2 Use the vertex form, y = a ( x − h) 2 k y = a ( x h) 2 k, to determine the values of a a, h h, and k k a = 2 a = 2 h = 0 h = 0 k = 0 k = 0 Since the value of a a is positive, the parabola opens up/ iznaykacom(Диме и маме вместе 40 лет, диме и папе 42 года, а вместе диме, маме папе 74 года сколько лет каждому?)



Graph Y 2x 4 With A Table Of Values Example Youtube



Systems Of Linear Equations Graphical Solution Mathbitsnotebook A1 Ccss Math
Graph y=2x^24x1 y = −2x2 4x − 1 y = 2 x 2 4 x 1 Find the properties of the given parabola Tap for more steps Rewrite the equation in vertex form Tap for more steps Complete the square for − 2 x 2 4 x − 1 2 x 2 4 x 1 Tap for more steps Use the form a x 2 b x c a x 2 b x c, to find the values of aSubtract y from both sides 2x=2y 2 x = 2 − y Divide both sides by 2 Divide both sides by 2 \frac {2x} {2}=\frac {2y} {2} 2 2 x = 2 2 − y Dividing by 2 undoes the multiplication by 2 Dividing by 2 undoes the multiplication by 2(xy)^2 = x^22xyy^2 (xy)(xy) = x^2y^2 Answer by venugopalramana(3286) (Show Source) You can put this solution on YOUR website!



Example 1 Graph A Function Of The Form Y Ax 2 Graph Y 2x 2 Compare The Graph With The Graph Of Y X 2 Solution Step 1 Make A Table Of Values For Ppt Download



Solved Match The Equation With Its Graph Y 2x2 Z2 Chegg Com
Integrate x^2 sin y dx dy, x=0 to 1, y=0 to pi;Extended Keyboard Examples Upload Random Compute answers using Wolfram's breakthrough technology & knowledgebase, relied on by millions of students & professionals For math, science, nutrition, history, geography, engineering, mathematics, linguistics, sports, finance, musicConditioning on the discrete level Example A fair coin is tossed 10 times;



How The Does Graph Of Y 2x 2 Differ From Y 2x 2 2 Socratic



Example 4 Write A Quadratic Function In Vertex Form Write In Vertex Form Then Identify The Vertex X 2x 2 10x 22 Y Solution X 2x 2 10x 22 Y Write Ppt Download
Solve y=2x^212x Microsoft Math Solver y = −2x2 12x Solve for x x = 236−2y 3 x = − 236−2y 3, y ≤ 18 Steps Using the Quadratic Formula Steps for Completing the Square View solution steps Solve for y y = 2x (6 − x) Graph Quiz Quadratic Equation y = −2x2 12x Similar Problems from Web Search What is the the vertex of y = −2x2 12x 9 ?Integrate x sin(x^2) integrate x sqrt(1sqrt(x)) integrate x/(x1)^3 from 0 to infinity;Solution Given 2 x 2 y = 2 xy 2 x 2 y = 2 x 2 y Differentiate wrtx 2 x log 2 2 y log 2 dy/dx = 2 x 2 y log 2 dy/dx 2 y 2 x log 2 (dy/dx) ( 2 y log 2 – 2 x 2 y log 2 ) = 2 y 2 x log 2 – 2 x log 2 (dy/dx) 2 y log 2 ( 1 – 2 x ) = 2 x log 2 (2 y 1) (dy/dx) = 2 x log 2 (2 y 1)/2 y log 2 ( 1 – 2 x ) = 2 x (2 y 1)/2 y ( 1 – 2 x )



Solved Match The Equation With Its Graph Y 2x 2 Z 2 Chegg Com



Find The Inverse Of The Function Y 2x 2 2 Brainly Com
I SHALL SHOW YOU THE FIRST TRY DOING OTHERS IN A SIMILAR WAYIF IN DIFFICULTY COME BACK DRAW A RECTANGLE HAVING ABC AS THE BOTTOM SIDE WITH AB=X AND BC=YSO THAT ABC=ABBC=XYAlgebra Graph y=2^x y = 2x y = 2 x Exponential functions have a horizontal asymptote The equation of the horizontal asymptote is y = 0 y = 0 Horizontal Asymptote y = 0 y = 0As we have two equations of x for y we can make these equal to each other This gives the following2x 2 7x 4 = 4x 1As with any quadratic we want to make it equal to 0 This gives the following2x 2 7x 4 4x 1 = 0Simplifying this gives2x 2 11x 5 = 0We know want to find two numbers that multiply together to give 5 and when



Warm Up Graphing Using A Table X Y 3x 2 Y 2 Y 3 2 2 8 Y 3 1 Y 3 0 Y 3 1 Y 3 2 2 4 Graph Y 3x Ppt Download



Systems Of Linear Equations Graphical Solution Mathbitsnotebook A1 Ccss Math
x, y, z が正の正数で、 x, y の最大公約数が 1 で、 x^2 3y^2 = z^2 を満たしている時、 x, y, z を他の変数とよく知られた関数の組み合わせで表示せよ ってことでしょうね、たぶん。 0 件 No1 回答者: endlessriver Hi Zach Since y^2 = x − 2 is a relation (has more than 1 yvalue for each xvalue) and not a function (which has a maximum of 1 yvalue for each xvalue), we need to split it into 2 separate functions and graph them together So the first one will be y 1 = √ (x − 2) and the second one is y 2 = −√ (x − 2)Extended Keyboard Examples Upload Random Compute answers using Wolfram's breakthrough technology & knowledgebase, relied on by millions of students & professionals For math, science, nutrition, history, geography, engineering, mathematics, linguistics, sports, finance, music



Solved Find The Area Of The Shaded Region 1 Y 2x 2 X Chegg Com



2 2 Graphing Quadratic Functions Definitions 3 Forms For A Quad Function Steps For Graphing Each Form Examples Changing Between Eqn Forms Ppt Download
$\begingroup$ @Timbuc WA is utter sh*t when it comes to multivariable limits I think what it does is that it computes the iterated limits As for the first equality in this answer, it's not problematic at all if you start with the assumption that the limit existsY^2 = x^32x^2 Natural Language;X^2 2 y^2 = 1 Natural Language;



Solve By Graphing 2x 2y 8 Y 2x 2 Mathskey Com



Graph Y 2x 7 Youtube
y = 0 ⇒ x 2 = ( 2 x 2 − x) 2 ⇒ 4 x 4 − 4 x 3 = 0 ⇒ 0 , 1 So there is another vertical tangent at ( 1 , 0) However, if we insert x = 0 , y = 0 into the expression, we find that the derivative is indeterminate, which is a sign that there is something odd about the curve there2x3>23 How to solve your inequality To solve your inequality using the Inequality Calculator, type in your inequality like x7>9 The inequality solver will then show you the steps to help you learn how to solve it on your own Less Than Or Equal To Type =Examples One Time Payment $1299 USD for 2 months Weekly Subscription $249 USD per week until cancelled Monthly Subscription $699 USD per month until cancelled Annual Subscription $2999 USD per year until cancelled



Solved Given Y Y 2x 2 4 2 L 4 2 2 2 4 L Is Chegg Com



Solved Consider The Quadratic Function Y 2x2 12x Chegg Com
This is always true with real numbers, but not always for imaginary numbers We have ( x y) 2 = ( x y) ( x y) = x y x y = x x y y = x 2 × y 2 (xy)^2= (xy) (xy)=x {\color {#D61F06} {yx}} y=x {\color {#D61F06} {xy}}y=x^2 \times y^2\ _\square (xy)2 = (xy)(xy) = xyxy = xxyy = x2 ×y2 For noncommutative operators under some algebraicCompute answers using Wolfram's breakthrough technology & knowledgebase, relied on by millions of students & professionals For math, science, nutrition, historySet y=0 & solve for the x intercept 0=x/22 x/2=2 x=2*2 x=4 ans (4,0) (graph 300x0 pixels, x from 6 to 5, y from 10 to 10, x/2 2)



1



Solved Find An Equation Of The Tangent Line To The Parabola Chegg Com
Extended Keyboard Examples Upload Random Compute answers using Wolfram's breakthrough technology & knowledgebase, relied on by millions of students & professionals For math, science, nutrition, history, geography, engineering, mathematics, linguistics, sports, finance, musicIntegrate 1/(cos(x)2) from 0 to 2pi;Free graphing calculator instantly graphs your math problems



Solution What Is The Range For The Function Y 2x 2 4x



Solved Compare The Values Of Dy And Ay Y 2x 2 X 2 Chegg Com



How Would You Sketch The Curve Y 2x 1 X 2 Then Draw The Line Y X 2 On Your Graph And Show That It Intersects With The Curve At The Point X 1 More



How Do You Use The Important Points To Sketch The Graph Of Y 2x 2 Socratic



Solved If A Function Is Defined By The Equation Y X Chegg Com



How To Graph Y 2x 5 Youtube



Which Graph Represents The Function Y 2x 2 4ty 1y 1y 2 2 2 2 2 2 2 2 O O Brainly Com



Integration Volume Of Revolution Of Solid Formed By Y X 2 And Y 2x About Y Axis Mathematics Stack Exchange



Solved Find A Parametric Equation That Corresponds To The Chegg Com



Solved 2 Of 9 10 2a Graph Exponential Functions What Are The Chegg Com



Graph The Quadratic Function F X 2x 2 X 2 Mathskey Com



On A Piece Of Paper Graph Y Gt 2x 2 Then Determine Which Answer Choice Matches The Graph You Brainly Com



1



Which Inequality Is Shown In This Graph 2 2 0 2 A Y 2x 2 Ooc B Y 2 2x 2 C Y 2x Brainly Com



25 Match The Equation Y 2x 2 Z 2 With Its Graph Labeled I Viii Toughstem



Solved Differentiate Y X2 2 1 2 Oy H X 2 2 Y 2x Chegg Com



Solution How Do You Graph Y X 2 And Y 2x 2



The Function Machine For The Equation Y 2x 2 Is X Gauthmath



Solved Match The Graphs With The Functions Y 2 X Y 2x Chegg Com



Ordinary Differential Equations Solve Y 2 2x 2y Dx 2x 3 Xy Dy 0 Mathematics Stack Exchange



Solved Differentiate Each Function 1 Y 3 2x 2 2 Y Chegg Com



The Equations Y X 2 2 8 And Y 2x 2 Are Graphed Below What Are The Solutions To The Equation Brainly Com



Solved Consider The Region R In The Xy Plane Bounded By The Chegg Com



The Graph Of The Equation Y 2x2 2 Is Shown Which Equation Will Shift The Graph Up 3 Units Brainly Com



Sketching Y 2x 2 Youtube



What Is The Equation Of The Image Of The Line Y 2x 2 After Reflection In The Liney X Quora



What Are The Zeros Of The Function Y 2x 2 5x 2 Brainly Com



Find The Volume Of The Solid Generated By Revolving The Region Bounded By The Graph Of Y 2x 2 1 And Y 2x 12 About The X Axis Round To



Sketch The Region Enclosed By The Curves Y 2x 2 Y 8x 2x 2 Decide Whether To Integrate With Respect To X Or Y Draw A Typical Approximating Rectangle Find The Area Study Com



1



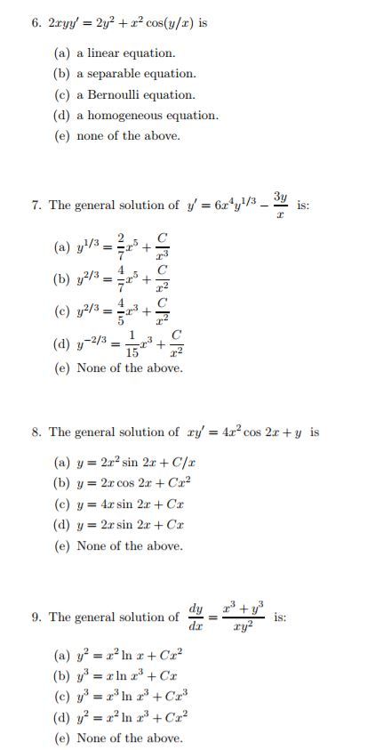
Solved 6 2xyy 2y2 2 2 Cos Y X Is A A Linear Equation Chegg Com



Solved F X Y 2x 2 2xy Y 2 2x 3 Find The Equation Chegg Com



What Will Be The Graph Of Equation Y 2x 4x 2 Quora



Find The Area Bounded By The Curve Y 2x X 2 And The Straight Line Y X Youtube



How Do You Graph The Line Y 2x 2 Socratic



Calculus 2 Integration Finding The Area Between Curves 2 Of 22 Ex 2 Y X 2 2x Y 2x 2 7x Youtube



How Do You Solve A System Of Equations By Graphing Printable Summary Virtual Nerd



How To Do You Graph Y 2x 2 X 3 By Plotting Points Socratic



Sketch The Graph Of Y 2x 3 6x 2 2 Including All Critical Points And Points Of Inflection Study Com



Find The Inverse Of The Function Y 2x 2 4 Brainly Com



How Do You Find The X And Y Intercepts Of A Line In Slope Intercept Form Printable Summary Virtual Nerd



How To Graph Y 2x 3 Youtube



Solved Find The Particular Solution Of Y 2x 2 Xy Y 2 Dx X 2 2x 1 Dy 0 Course Hero



Y 2x 2 Youtube



What Is The Slope Of The Tangent Line To The Graph Y X 2 2 At The Point 1 3 Quora



Solved Find The Solution Of The Initial Value Problem Y Chegg Com



Warm Up Determine If 3 4 Is A Solution To The Equation 1 Y 2x 2 2 6x 3y 6 4 2 3 2 4 6 2 6 3 3 4 6 18 12 6 Yes Ppt Download



Draw The Graph Of Y 2x 2 X 6 Mathskey Com



Solution Graph The Quadratic Equation Y 2x 2 What Is The Vertex Also Graph The Parabola If You Can Please Include The Points That I Have To Graph Plot That Would Be G



Solved Find The General Solution Of D 2 D 2 Y 2x 40cos2x Course Hero



Consider A Parabola Math Y X 2 Math The Line That Goes Through The Point 0 3 2 And Is Orthogonal To A Tangent Line To The Part Of Parabola Math Y X 2 Math With Math X 0 Math Is Math Y Ax 3 2 Math What



Example 3 Graph A Function Of The Form Y Ax 2 Bx C Graph Y 2x 2 8x 6 Solution Identify The Coefficients Of The Function The Coefficients Ppt Download



Solve By Substitution Simultaneous Equations Y 2x 1 X Y 2 Ada Project Youtube



Solved Let R Be The Region Bounded By The Graph Of Y 2x Chegg Com



Solve The System Of Equations Y X 2 2 Y 2x 1 Brainly Com



How Do You Figure Out Whether A Boundary Is A Part Of The Graph Of An Inequality Printable Summary Virtual Nerd



Quadratic Equations Inequalities And Functions Module 1 Lesson 1 Quadratic Functions Ppt Download



How Do You Find The Vertex Of Y 2x 2 4x Socratic



Solution What Is The Graph Of Y 2x 2 2 Y Equals 2x Squared Plus 2



Warm Up 1 Y 2x Y 3x Y 3x2 X 2 When X 2 Ppt Video Online Download



Which Of The Following Graphs Represents The Equation Y 2x 3 Brainly Com



Draw The Graph Of Y 2x 3 2



How To Graph Y 1 2x 2 Youtube



File Y 2x 2 4 Svg Wikimedia Commons



Solve The System Of Equations By Graphing Y X 2 2x 2 Y 2x 2 Socratic
コメント
コメントを投稿